           |
Inhalt --
4 Zusammenfassung und Ausblicke -- Anhang
B: Beschreibung der Software
Anhang A:
Strukturformeln erwähnter Chemikalien
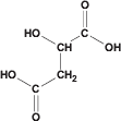
Malonsäure |
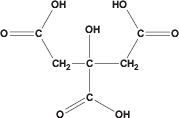
Citronensäure |
Äpfelsäure |
Gallussäure |
Acetessigester |
Acetondicarbonsäure |
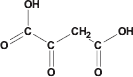
Oxalessigsäure |
Ferroin |
Tri-Bipyridin-Ruthenium(II)-Ion |
Abb. 24:Strukturformeln verschiedener Stoffe, die an der BZR
beteiligt sein können;
Quellen: [Zhabotinsky
1964], [OMIKRON GmbH
1999], [Seilnacht 2000],
[Schunk 2000], [Schöpke
2000], [o.A. 2000]
Inhalt --
4 Zusammenfassung und Ausblicke -- Anhang
B: Beschreibung der Software
|
|